デルタ関数の近似

デルタ関数 δ(x)

D f(x) φ(xc) dx f(c)      (1)

を満たす様々な初等関数 φ(x) によって近似的に表すことができる( δ(x) φ(x) ).このとき,積分領域 D は通常, <x< の範囲で考える.


分数関数による表現

a>0 として,以下のように分数関数の極限によってデルタ関数を表現することができる.

δ(x) = lim a0 a π( x2+a2 )      (2)

この分数関数は a の値が小さいほど, x=0 に鋭いピークをもつ.式(2)を から まで積分すると, a の値にかかわらず

δ(x)dx = lima0 1π a x2+a2 dx

δ(x)dx = lima0 1π tan1 xa

δ(x)dx =1π π2 π2 =1

となり,デルタ関数の定義を満たすことが分かる.


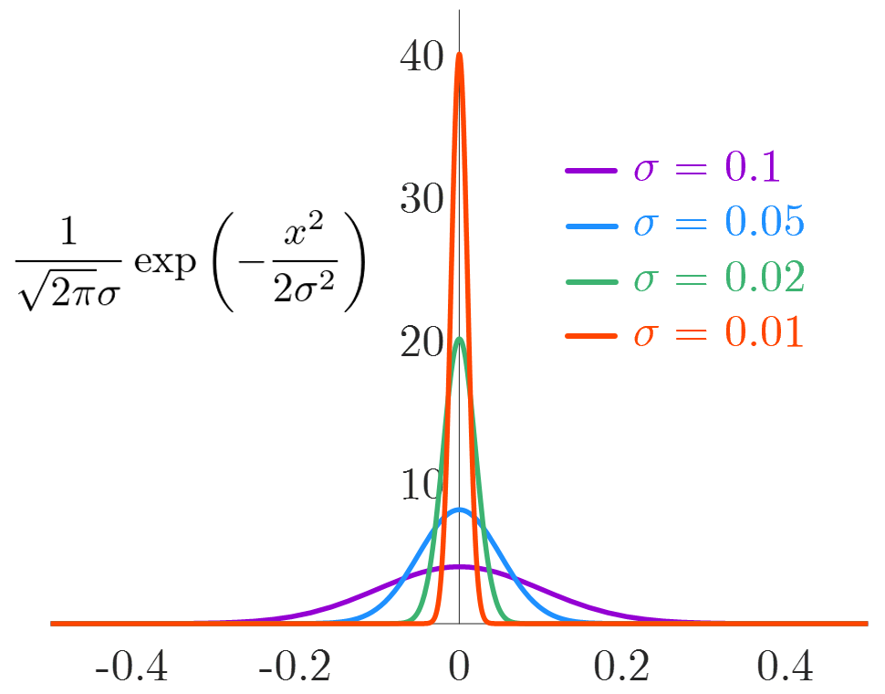
正規分布(ガウス分布)の確率密度関数による表現

σ>0 として,以下のように 正規分布(ガウス分布)の確率密度関数の極限によってデルタ関数を表現することができる.

δ(x) = lim σ0 1 2πσ exp x2 2σ2      (3)

正規分布の確率密度関数は標準偏差 σ の値が小さいほど, x=0 に鋭いピークをもつ.式(3)は確率密度関数なので, から まで積分すると, σ の値にかかわらず必ず 1 となる(参考:ガウス積分).


三角関数を用いた表現

sinc(シンク)関数 sinc(x) =sinxx を用いて,次式のようにデルタ関数を表現することができる.

δ(x) = lima aπ sinc(ax)

δ(x) = lima sinaxπx      (4)

上式2行目の関数は x=0 で定義できないが, sinc(ax) x0 の極限で 1 に収束する sinc(0)=1 と定義される ).関数 aπ sinc(ax) a の値が大きいほど, x=0 に鋭いピークをもち, から までの積分は a の値にかかわらず 1 となる(参考:sinc関数の積分).

sinaxπx dx = 1π sinuu du

sinaxπx dx = 1ππ=1

物理の分野におけるデルタ関数の表現として,式(4)はよく出てくる.

また, cos 関数を用いて

φn(x) = 1π 12+ k=1n coskx      (5)

のように定義された関数 φn(x) について,定義域を π から π に制限して n の極限をとると,デルタ関数を表現することができる.

δ(x)= limn φn(x)      (6)

φn(x) n が大きいほど, x=0 に鋭いピークをもつ.定義域を π から π に制限するのは, φn(x) が周期 2π の周期関数であるからであり, n の値にかかわらず 1 周期にわたる積分が 1 となる.

ππ φn (x)dx = ππ 1π 12 + k=1n coskx dx

ππ φn (x)dx =1π x2+ k=1n 1ksinkx ππ

ππ φn (x)dx =1π π2 π2 =1

x0 のとき, φn(x) を以下のように変形できる.

φn(x) = 12π 1sinx2 sinx2 + k=1n 2sinx2coskx
φn(x) = 12π 1sinx2 sinx2 + k=1n sink+12x sink12x

ここで,積和の公式  2sinx2coskx = sink+12x sink12x  を用いた.上式の 内の和を書き下すと,以下のように隣り合う項が打ち消し合い

sinx2+ sin32xsin12x + sin52xsin32x + sin72xsin52x +

sin32xsin12x +

+ sinn12x sinn32x + sinn+12x sinn12x

= sinn+12x

が得られる.したがって,式(5)は

φn(x) = 12π sinn+12x sinx2      x0      (7)

と表せる. x=0 のときは,元々の定義式(5)より φn(0) =1π n+12 である.式(7)において, x=0 近傍での振る舞いを考えると sinx2x2 と近似できるので,

φn(x) 12π sinn+12x x2 = sinn+12x πx

と表せる.この表式において, n+12 a (正の実数)と置き換え, x=0 近傍だけでなく全領域に広げると, a の極限で式(4)のデルタ関数の表現に一致する(グラフの形が似ていることにも納得であろう).


積分を用いた表現

物理の様々な分野において,フーリエ変換に関連して頻繁に出てくるデルタ関数の表現として

δ(x) = 12π eikxdk      (8)

がある.式(8)の積分において,オイラーの公式 eikx =coskx+isinkx を用い,広義積分として考えると

12π eikxdk = 12π lima aa coskx+isinkx dk

12π eikxdk = 12π lima aa coskxdk

12π eikxdk = 12π lima sinkxx a a

12π eikxdk = lima sinax sin(ax) 2πx

12π eikxdk = lima sinaxπx

が得られ,上の「三角関数を用いた表現」における式(4)の表現と一致することがわかる.ここで, sinkx は奇関数なので積分には寄与しないことを用いた.つまり,式(8)は

δ(x) = 12π coskxdk      (9)

と表すこともできる.この式は,上の「三角関数を用いた表現」における式(6)を連続的に拡張したものである.

式(6) ⇒   1π 12+ k=1 coskx = 1π 12 k= coskx 12π coskxdk


ホーム>>カテゴリー分類>>物理数学>>特殊関数>>デルタ関数の近似